SINAMICS S200 将与 SIMOTICS S-1FL2、Motion Connect 350/380 电缆相结合,作为新型单轴 AC/AC 伺服驱动系统,增强了伺服驱动产品的竞争力并扩大了西门子在标准伺服市场的产品组合覆盖范围。
S200 PROFINET 版本由基本版 (S200 Basic PN) 和标准版 (S200 PN) 组成。借助 PROFINET 接口,系统可与 SIMATIC 控制器完美结合,帮助用户解决从基本到高级的各类运动控制任务。

图1-1
SINAMICS S200全新的伺服驱动系统具有灵活迅速、精准操控,调试安装简单方便。传承了西门子一贯的稳定性和质量,同时也兼备外观紧凑精致、玲珑小巧的优势。做为SINAMICS S系列的新成员,S200可助力设备在数字化转型中高效运行。
本文将从S200的系统概览、产品定位、系统亮点和关键功能、系统与集成、相关资料等方面为大家做简单介绍,使大家能够快速了解相关产品信息。
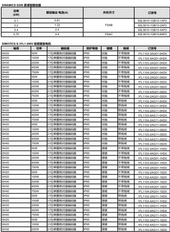
2. 驱动系统概览
SINAMICS S200 伺服驱动系统是面向标准伺服市场的新一代伺服驱动系统。它是一款单轴AC/AC伺服驱动系统,设计紧凑,易于使用,适用于标准伺服运动市场中的运动控制应用。
SINAMICS S200 伺服驱动系统包括伺服驱动器,伺服电机,动力、抱闸及编码器电缆。

图2-1
2.1 SINAMICS S200伺服驱动器
SINAMICS S200伺服驱动器分为Basic版和标准版,可满足各种应用需求。关于供电及电压范围、安全功能、制动电阻、控制接口、交流输入检测及抱闸控制几方面的说明,请参看表2-1。
表2-1

不同结构尺寸的S200伺服驱动器可以连接的电机功率,以及连接使用的电缆在表2-2中做了概述。详细的订货信息可参看产品样本。
表2-2

注释:
1) PTI正在准备中
2)电机惯性:LI/MI/HI分别表示低惯性/中惯性/高惯性
3)电机额定功率,单位kW
SINAMICS S200 PN硬件及接口如图2-2所示,它具有易于安装的接线方式。

图2-2
2.2SINAMICS 1FL2伺服电机
SIMOTICS S-1FL2伺服电机可满足动态响应与平稳运行的双重需求,提供多规格型号选择,支持搭配多圈绝对值或单圈绝对值编码器使用。
1. SINAMICS S-1FL2 低惯量(LI)伺服电机
SINAMICS S200 & 1FL2低惯量机型采用紧凑化设计,能有效缩短设备的加速和制动时间,适配需要快速启停的应用场景。
8种电机可选,紧凑的设计
通过超低转子惯量实现动态表现优异
最大转速可达6500rpm
高达 3.5 倍过载,可实现动态响应表现优异
防护等级 IP65,安装空间小
2. SINAMICS S-1FL2 中惯量 (MI) 伺服电机
SINAMICS S200 & 1FL2中惯量电机提供动态性能,以满足需要平衡动态响应和平稳运行的应用。
6种电机可选,紧凑的设计
中等动态/惯性(用于具有较高惯性的负载)
最大转速可达6500rpm
高达 3.5 倍过载,可实现高动态响应
防护等级 IP65,安装空间小
3. SINAMICS S-1FL2 高惯量 (HI) 伺服电机
SINAMICS S200 & 1FL2低惯量电机,满足需要更好适应负载,平稳运行的应用。可实现更高的转矩精度和低速度波动。
11种电机可选,坚固、成本优化的设计
通过高转子惯量轻松配置、设置和使用
最高转速可达4000rpm
高达 3.5 倍的过载能力
非常平稳的运行质量和低扭矩脉动
防护等级 IP65
电机有如下选件:
单圈绝对值编码器:17位/21位
多圈编码器:21位单圈+12位多圈
抱闸
普通轴或带键轴
IP54,IP65可选(SH20/30/40)
IP65(SH48/52/45/65/90)
表2-3列出了各种电机额定转矩、额定功率、额定转速、最高转速及可配置的编码器相关技术数据。
表2-3

2.3Motion Connect 电缆

图2-3
电缆长度不超过30m
双电缆(SH20/30/40)/2电缆(SH48/52)/3电缆(SH45/65/90)
可在驱动端方向/非驱动端方向连接
订货信息请参看产品样本。
2.4 SINAMICS S200 伺服驱动系统的特点
SINAMICS S200 伺服驱动系统具有高性能,易使用,面向未来的特点:
1.性能优化
电流环周期 62.5us (PTI) 125us (PN)
通过 PN IRT 加速与控制器通信
支持最高21位高分辨率编码器
最高350%过载能力
具有IP65防护等级和金属连接解决方案的电机
2.易于使用
紧凑的驱动器和电机设计
通过 TST、SPC、SINAMICS Selector应用程序轻松选型
设置简单的集成抱闸控制和制动电阻
通过Webserver 和 Startdrive,一键优化和电机电子铭牌,使得调试更简单。
支持全球标准和认证
3.面向未来
通过完整的 TIA 产品满足控制动态的需求
配合DriveSim Basic实现设备的数字化仿真
集成的STO SIL3满足您的安全性需求
适应信息安全需求,以确保对自动化流程的安全访问
2.5 使用SINAMICS S200 的客户收益
如何加快生产线的上市时间?加快设备的调试速度?使用S200可以使客户得到哪些收益呢?这些都是大家非常关注的,下面为大家来一一列举。
1. 通过使用TST(TIA选择工具)、SPC(西门子产品配置程序)、SINAMICS Selector应用程序可以快速、轻松地选择S200伺服驱动系统。

2. 紧凑的设计和集成的组件使设置变得更简单
驱动器尺寸节省高达30%,200V时并排间隙更近为1mm,极大地节省了机柜内的安装空间。

电机长度缩短至24%,易于安装,对于LI/MI,抱闸连接与动力电缆集成在一起。
集成抱闸控制和集成制动电阻,节省了选型和布线的精力。
3.SINAMICS S200 可以使用SINAMICS Startdrive 或 Web 服务器二种调试工具来进行工程调试、参数设置、故障诊断、服务、监控和操作。使工程调试更加简单、高效。
SINAMICS Startdrive调试软件
SINAMICS Startdrive调试软件是将西门子驱动器硬件集成到TIA Portal工程框架中的理想工具。利用博途平台,驱动器和控制器之间的便捷交互使SIMATIC控制器和SINAMICS驱动器轻松完成运动控制项目的调试。从V18 SP2版本开始,增加了S200驱动的调试功能。
使用Startdrive软件可以完成S200驱动的硬件配置、驱动参数化、通过控制面板测试驱动系统的运行、一键优化驱动系统、配置与PLC 的通信等。创新的快速指导设置,通过提供清晰的指导和简洁的说明完成驱动器的调试,大大节省了时间。

使用Web server调试
由于S200调试工具 “网络服务器” 集成在驱动器中,所以通过浏览器访问的方式也可以方便快速地完成对驱动器的调试。
使用Webserver调试,不需要安装额外的软件,调试电脑通过网线连接S200驱动的网口,使用浏览器打开S200的网络服务器就可以快速设置驱动,参数化驱动、通过控制面板运行驱动、对驱动系统进行一键优化、创建已调试驱动器的备份。
在设备的运行阶段Web网络服务器作为主要工具。使用它可以进行驱动运行状态的监控,通过检查和分析驱动运行中出现的故障及报警消息来进行驱动故障的诊断及排查。还可以完成固件的升级及驱动参数的调整。

4. 易于实施全球标准和认证:CE、UL、UKCA、KC、EAC、RCM、SEMI47。
5. 通过产品正面的二维码轻松获取产品信息,所有材料触手可及。

您眼中的未来是什么?灵活、数字化、安全可靠。S200从各个方面适合您的未来,适合您的灵活性。
它可以与SIMATIC控制器和SINAMICS伺服驱动系统一起用于运动控制任务的可扩展系统。
优化产品线S200、S200 Basic,具有各种通信功能,如PROFINET RT/IRT、脉冲串、模拟、Modbus。
配合DriveSim Basic实现设备的数字化仿真,降低了设计和工程阶段的风险和成本,使设备快速上市。
3. 产品组合及系统集成中的定位
图3-1 显示了SINAMICS S200 系统在SINAMICS “非连续运动”产品家族中的定位,它属于标准伺服驱动系统的单轴AC/AC产品,具有高动态响应和最高的紧凑性。

图3-1
V90, S200与S210及S120驱动器相比:
它们的安全功能是通过端子实现的STO安全转矩关断,不支持通过PROFIsafe的扩展基本及扩展安全功能。
没有共直流母线的安装形式。
V90, S200支持PROFINET,串行通信,例如Modbus,PTI几种控制方式。
4. 系统与集成
SINAMICS S200 伺服驱动系统支持从AC1到AC4的应用程序模型,以实现所有应用程序的灵活性。可通过与SIMATIC和TIA Portal完美扩展,为客户提供完整的解决方案。
4.1与SIMATIC S7-1200连接用于基本应用
脉冲序列用于定位
IO/PROFINET RT用于EPOS控制
模拟量可用于速度和扭矩控制

4.2与SIMATIC S7-1500/T, ET200SP Open controller, SIMOTION连接用于高级应用
PROFINET RT用于EPOS
PROFINET IRT 用于工艺对象轴(DSC)

4.3 SINAMICS S200 PROFINET
与SIMATIC控制器一起提供运动控制解决方案
与西门子控制器一起适用于不同级别的运动控制任务:
配合S7-1200 用于速度控制
配合S7-1200 / S7-1500 通过EPOS实现定位
配合S7-1500实现定位,齿轮同步(相对位置同步)
配合S7-1500 T-CPU实现齿轮同步(绝对位置同步),凸轮同步和插补
配合S7-1500 T-CPU / SIMOTION 实现分布式同步
